23/12/11

Grafologia e Logotipos

Um logotipo é como uma assinatura institucional, é uma forma de grafar uma marca.
O logotipo da Molaflex, por exemplo, contém a letra “m” minúscula manual engrandecida. Trata-se de autêntica mola na horizontal. Se a rodarmos 90º para a direita ou para a esquerda, transforma-se numa mola helicoidal.

É apenas a título de exemplo, sem qualquer intuito publicitário, que faço esta curta análise, com base numa fotografia que tirei a um estabelecimento junto ao Pavilhão Rosa Mota, no Porto.

Esta empresa preza-se por apresentar colchões com uma base firme e confortável que permita um “descanso reparador e revitalizante”.
Nesta análise pretende-se verificar até que ponto o logotipo adotado pela empresa reflete as caraterísticas que, supostamente, o produto deveria conter – flexibilidade, elasticidade e firmeza.  

Para conseguir este objetivo, nada melhor do que analisá-lo à luz dos principais parâmetros da grafologia: forma, dimensão, pressão, velocidade, direção, inclinação, continuidade e cor.

A forma da letra é arredonda, o que implica flexibilidade, suavidade, tranquilidade, boa adaptação ao meio, calor,  "necessidade de sonho"  e delicadeza. O predomino de ângulos ou de arcadas, pelo contrário, sugeriria rigidez, inflexibilidade, conflitualidade ou frieza

Quando à dimensão, a 1ª perna do “m” é mais maior que as outras duas, sugerindo auto-estima elevada, confiança e orgulho: fatores essenciais a qualquer marca comercial que se queira implantar no mercado.

A pressão é firme, sinal de energia, de autenticidade, de segurança em si mesmo, mas como se apresenta deslocada ou invertida pode ter uma conotação negativa, sendo sinónimo de insegurança ou de rebeldia.

A velocidade é lenta, porém, num contexto positivo, significa ordem e autocontrolo.

A direção surtiria mais efeito se a linha de base fosse horizontal ou ascendente; sendo ligeiramente descendente, pode implicar falta de energia e fadiga.

A inclinação pouco pronunciada para a direita é indício de acolhimento.

A continuidade apresenta-se sem fragmentações, partindo da zona inferior (do concreto) e terminando na zona superior (do ideal). 

A cor branca sugere perfeição e silêncio, contrasta com um fundo vermelho que exprime agressividade. A cor azul, apesar de ser uma cor fria, seria uma boa opção, porque está associada ao bem-estar e tranquilidade, caraterísticas que são também apanágio dos colchões Molaflex.

Conclui-se que, de modo geral, este logotipo, consciente ou inconscientemente, reflete a imagem que a empresa pretende fazer passar.

19/12/11

Velocidade da escrita versus velocidade da leitura (continuação)


Interpretação e ilustração dos resultados


Distribui os indivíduos por quatro escalões, de acordo com os resultados alcançados aquando da realização dos testes de velocidade de escrita:

·       o 1º escalão é formado  pelos indivíduos que fizeram entre 81 e 100  letras por minuto;

·       o 2º escalão é formado pelos indivíduos que fizeram entre 101 e 120 letras por minuto;

·       o 3º escalão é formado pelos indivíduos que fizeram entre 121 e 140 letras por minuto;

·       o 4º escalão é formado pelos indivíduos que fizeram entre 141 e 160 letras por minuto.



Os escalões da velocidade de leitura são encontrados em correspondência com os da velocidade da escrita. Por exemplo: a quantidade de sílabas lidas por cada indivíduo que escreveu entre 81 e 100 letras por minuto é colocada no 1º escalão da velocidade de escrita; a quantidade de sílabas lidas por cada indivíduo que escreveu entre 101 e 120 letras por minuto é colocada no 2º escalão da velocidade de escrita; e assim sucessivamente.

Se, no final, se verificar que a média das sílabas lidas por minuto aumenta gradual e proporcionalmente à média das letras escritas por minuto, pode deduzir-se que existe uma correlação evolutiva entre a escrita e a leitura.

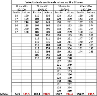
Figura A – Quadro comparativo da velocidade da escrita e da leitura



No quadro da Figura A, podemos ver a quantidade de letras escritas por minuto, os respetivos escalões e a correspondente quantidade de sílabas lidas.

No final de cada coluna, observamos as médias alcançadas por cada escalão: as médias da escrita estão a cor preta e as médias da leitura estão a cor vermelha.

Em relação à media geral da escrita e da leitura, os indivíduos testados são capazes de ler, praticamente, duas vezes mais sílabas do que de escrever  letras.  Por minuto, conseguiram fazer uma média de 127,8 letras e ler 253,2 sílabas.

Um aluno não quis ler, dando a justificação que lia muito devagar, o que, de facto, correspondia à verdade. Depois, confirmei que este indivíduo, também na escrita, fizera apenas 64 letras por minuto, número bastante abaixo da média.

Entre os 57 indivíduos estudados, houve, apenas, um que fez 168 letras por minuto e leu 314 sílabas. Um único caso não faz regra nem justifica a criação dum 5º escalão, mas serve para confirmar a dependência e relação entre o desenvolvimento da velocidade da escrita e da velocidade da leitura.

Observei, também, o sucesso escolar dos alunos e verifiquei que os bons resultados a Português correspondiam a maior velocidade de leitura.

 Um aluno, que confessara ter lido muitos livros, encontrava-se no 2º escalão de escrita, mas lia tão depressa como os colegas que se encontravam no 4º escalão de leitura.